KPSS 2021/1 tercihleri 1-8 Temmuz tarihleri arasında alındı. KPSS 2021/1 tercihleri de 22-29 Aralık tarihleri arasında alınacak. ÖSYM 14 Temmuz'da yani bugün KPSS 2021/1 tercih sonuçlarının açıklandığını duyurdu. Peki 2021/1 merkezi atama taban puanları nasıl görüntülenir? İşte 2021/1 merkezi atama kontenjanları... İşte tüm merak edilenlerin yanıtları...
KPSS/1 TERCİH SONUÇLARI AÇIKLANDI MI?
ÖSYM'nin duyurusuna göre KPSS 2021/1 yerleştirme sonuçları açıklandı. KPSS-2021/2 Merkezi Yerleştirmeleri için de tercihler 22 Aralık'ta başlayıp 29 Aralık tarihinde sona erecek. KPSS 2021/1 tercih kılavuzu yayımlandı.
TERCİH KILAVUZU İÇİN TIKLAYINIZ
ÖSYM tarafından yapılan açıklamada, ''01 - 08 Temmuz 2021 tarihleri arasında tercihleri alınan KPSS-2021/1 Bazı Kamu Kurum ve Kuruluşlarının kadro ve pozisyonlarına yerleştirme işlemleri tamamlanmıştır.
Adaylar, yerleştirme sonuçlarına 14 Temmuz 2021 tarihinde saat 09.10’dan itibaren ÖSYM’nin https://sonuc.osym.gov.tr internet adresinden T.C. Kimlik numaraları ve şifreleri ile erişebileceklerdir.'' denildi.
KPSS 2021 1 TERCİH SONUCU ÖĞRENMEK İÇİN TIKLA!
KPSS-2021/1 Yerleştirme Sonuçlarına İlişkin En Küçük ve En Büyük Puanlar (LİSANS)
KPSS-2021/1 Yerleştirme Sonuçlarına İlişkin En Küçük ve En Büyük Puanlar (ÖN LİSANS)
KPSS-2021/1 Yerleştirme Sonuçlarına İlişkin En Küçük ve En Büyük Puanlar (ORTAÖĞRETİM)


2021/1 MERKEZİ ATAMA KONTENJANLARI
KPSS/1 tercih kılavuzu ve kontenjanları, ÖSYM tarafından erişime açıldı.
KPSS TERCİHLERİ İÇİN TIKLAYINIZ
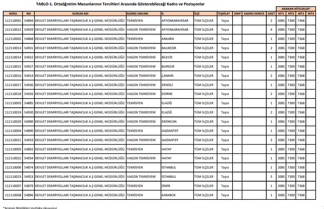
TABLO-1.Ortaöğretim Mezunlarının Tercihleri Arasında Gösterebileceği Kadro ve Pozisyonlar



TABLO-2.Ön Lisans Mezunlarının Tercihleri Arasında Gösterebileceği Kadro ve Pozisyonlar










2021/1 MERKEZİ ATAMA TABAN PUANLARI
*TABLO-2.Ön Lisans Mezunlarının Tercihleri Arasında Gösterebileceği Kadro ve Pozisyonlar
*TABLO-3.Lisans Mezunlarının Tercihleri Arasında Gösterebileceği Kadro ve Pozisyonlar
*Ortaöğretim Mezunları İçin Nitelik Kodları
*Ön Lisans Mezunları İçin Nitelik Kodları
*Lisans Mezunları İçin Nitelik Kodları
*Mezun Olunan Ortaöğretim Alan/Dallar
*Mezun Olunan Ön Lisans Programı
KPSS 2021/1 TERCİHİ NASIL YAPILIR?
Tercih işlemleri için öncelikle istediğiniz kadro ve pozisyonları belirleyiniz ve 30’u geçmemek üzere sırasıyla yazınız.
Tercihlerinizi http://www.osym.gov.tr internet adresinden yapacaksınız. Linke tıkladıktan sonra “ADAY İŞLEMLERİ” alanına erişiniz. Burada da T.C. Kimlik Numaranızı ve şifrenizi giriniz.
Sonra tercihlerinizin sisteme kaydını yaptıktan sonra kılavuzun son sayfasında belirtilen bankalardan birine veya ÖSYM’nin internet sayfasında yer alan “ÖDEMELER” alanından kredi kartı /banka kartı ile tercih ücretinizi yatırınız.
KPSS ATAMA PUANLARI 2021
2021 yılında yapılan tüm KPSS atamalarına aşağıdaki linklerden ulaşabilirsiniz;
KPSS-2021/6 Yerleştirme Sonuçlarına İlişkin Sayısal Bilgiler
KPSS-2021/5 Yerleştirme Sonuçlarına İlişkin Sayısal Bilgiler
KPSS 2021/4 Ulaştırma ve Altyapı Bakanlığı Sözleşmeli Pozisyonlar Taban Puanları
KPSS 2020/7 Tarım ve Orman Bakanlığının Sözleşmeli Pozisyonlar Taban Puanları (LİSANS)
KPSS 2020/7 Tarım ve Orman Bakanlığının Sözleşmeli Pozisyonlar Taban Puanları (ÖNLİSANS)
KPSS 2020/7 Tarım ve Orman Bakanlığının Sözleşmeli Pozisyonlar Taban Puanları (Ortaöğretim)
KPSS-2021/3 Yerleştirme Taban Puanları
BAŞVURU ŞARTLARI NELER?
KPSS 2021/1 tercihleri için genel başvuru şartları şöyle;
a) Türk vatandaşı olmak. (5901 Sayılı Türk Vatandaşlığı Kanununun 28'inci maddesi gereğince Mavi Kart sahibi olup Mavi Kartlılar Kütüğüne kayıtlı adaylar bu kılavuzda yer alan kadro ve pozisyonlara başvuramazlar.)
b) 18 yaşını tamamlamış olmak. (Bir meslek veya sanat okulunu bitirenler en az 15 yaşını doldurmuş olmak ve Türk Medeni Kanununun 12'nci maddesine göre kazai rüşt kararı almak şartıyla Devlet memurluklarına atanabilirler. Kazai rüşt kararının tercih işlemlerinin son günü itibarıyla alınmış olması gerekmektedir.)
c) Kamu haklarından mahrum bulunmamak.
d) Kılavuzda yer alan "kadroları" tercih edecek adaylar için;
Türk Ceza Kanununun 53 üncü maddesinde belirtilen süreler geçmiş olsa bile; kasten işlenen bir suçtan dolayı bir yıl veya daha fazla süreyle hapis cezasına ya da affa uğramış olsa bile devletin güvenliğine karşı suçlar, Anayasal düzene ve bu düzenin işleyişine karşı suçlar, zimmet, irtikâp, rüşvet, hırsızlık, dolandırıcılık, sahtecilik, güveni kötüye kullanma, hileli iflas, ihaleye fesat karıştırma, edimin ifasına fesat karıştırma, suçtan kaynaklanan malvarlığı değerlerini aklama veya kaçakçılık suçlarından mahkûm olmamak.
Kılavuzda yer alan "pozisyonları" tercih edecek adaylar için;
Taksirli suçlar hariç olmak üzere, ağır hapis veya 6 aydan fazla hapis veyahut affa uğramış olsalar bile Devletin şahsiyetine karşı işlenen suçlarla, zimmet, ihtilas, irtikap, rüşvet, hırsızlık, dolandırıcılık, sahtecilik, inancı kötüye kullanma, dolanlı iflas gibi yüz kızartıcı veya şeref ve haysiyeti kırıcı suçtan veya istimal ve istihlak kaçakçılığı hariç kaçakçılık, resmi ihale ve alım satımlara fesat karıştırma, Devlet sırlarını açığa vurma suçlarından dolayı hükümlü bulunmamak. e) 657 sayılı Devlet Memurları Kanununun 48 inci maddesinin 6 ncı fıkrasında belirtilen askerlik şartını taşımak. (Askerde bulunan adaylar da tercih yapabileceklerdir. Ancak, yoklama kaçağı veya bakaya durumda bulunan adayların tercihte bulunmamaları gerekmektedir.)
f) Kılavuzda yer alan "kadroları" tercih edecek adaylar için;
Görevini devamlı yapmasına engel olabilecek akıl hastalığı bulunmamak. (Hangi görevin devamlı yapılmasına, hangi akıl hastalığının engel olacağına resmi sağlık kurullarından alınan raporların incelenmesi suretiyle ilgili kurumlar tarafından karar verilecektir.) Kılavuzda yer alan "pozisyonları" tercih edecek adaylar için; Görevini yapmalarına engel olabilecek akıl hastalığı veya bedensel engel ile engelli olmamak. (Hangi görevin yapılmasına, hangi bedensel engel veya akıl hastalığının engel olacağına resmi sağlık kurullarından alınan raporların incelenmesi suretiyle ilgili kurumlar tarafından karar verilecektir.) g) Tercih edilecek kadro veya pozisyonlar için aranan diğer başvuru şartlarını taşımak.

